Как и кто считает тактико-технические действия игроков
Статистика знает все. Знает, что в среднем футболист за матч владеет мячом не больше четырех минут. Знает, что из десяти голов лишь один забивается в результате позиционной атаки. И даже знает, сколько раз игроки «Спартака» времен Червиченко могли пойти в единоборство, но не пошли. Еженедельник «Футбол» постарался выяснить, откуда все это знает статистика и кому от этого легче.
ОРАНЖЕВАЯ ФОРМА И ГОЛЕВОЕ СОДЕРЖАНИЕ
В современном футболе считают всё. Но прежде всего — тактико-технические действия футболистов (ТТД). Но считают по-разному. Это 30 лет назад, по большому счету, было две методики подсчета ТТД — спартаковская (она же бесковская) и киевская (по Лобановскому). Сейчас каждый руководитель ставит перед своими статистиками порой весьма оригинальные задачи. Например, Андрей Червиченко во время своего президентства в «Спартаке» требовал считать, сколько раз футболист мог пойти в единоборство, но не пошел. От конечной цифры, говорят, зависел размер премиальных.
Но, как бы и что бы ни считали, общий принцип остался прежним: сколько футболист получил передач, сколько отдал, куда отдал — вперед, назад или поперек, сколько из них точно, сколько неточно, сколько раз вступил в единоборство и так далее до бесконечности. Но самое главное число в этих подсчетах — процент допустимого брака для футболиста соответствующего ампула.
«Для защитника допустимы 10 процентов брака, для полузащитника — 15—17 процентов, для нападающего — до 50 процентов», — считает Владимир Поторочин. Свою статистику он в разные годы готовил тренерам «Слована», «Спартака», «Кубани». Готовил не только голые цифры. Есть у Поторочина и свое ноу-хау. «Делалось это примерно так», — достает лист чистой бумаги Поторочин и рисует на нем футбольное поле. На фланге появляется маленький кружок, а рядом с ним две цифры: одна со знаком «плюс», другая — с «минусом». Кружок — это место, с которого в штраф¬ную площадь были сделаны подача или прострел, «плюсы» — точные, «минусы» — неточные. К концу матча весь листочек изрисован кружочками и цифрами, и сразу же понятно, на каком участке и от какого игрока шла наибольшая угроза. Методика, конечно, не универсальна, но вполне наглядна. И теперь Поторочин точно может сказать, что лишь одна подача верхом из 183 заканчивается голом, а если простреливать низом, то шансы 1 к 12.
Есть и психологическая статистика.
«Например, у нас в «Словане» вратарь играл исключительно в оранжевом свитере
, — вспоминает Поторочин. — Оранжевый цвет формы голкипера — это минус 8 голов за сезон. То есть как минимум плюс 6 очков команде: психологическое наблюдение, проверенное статистикой».
Но порой из статистических данных тренеры делают очень неожиданные выводы. В середине 90-х один специалист, узнав, что из 10 голов только 1 забивается в ходе длительной комбинации, 5 — после розыгрыша стандартных положений, а 4 — после конт¬ратак, на установке рекомендовал своим игрокам не затягивать наступательные действия и чуть ли не отдавать мяч сопернику, если быстро забить не удалось.
КТО «УКРАЛ» ФОРМУЛУ
У Александра Бубнова своя методика подсчета ТТД — бесковская. По Бескову выходит, что центральный защитник должен был делать 70—90 технических действий, допуская 12—14% брака, крайние игроки обороны — 90—100 ТТД (16—18%), опорный полузащитник 90—110 ТТД (18—20%), крайний полузащитник — 100—115 ТТД (17—19%), нападающий — 60—80 ТТД (20—25%). Всего же команда должна выполнять за матч порядка 800 ТТД при допустимом браке не более 20 процентов.
«Бесков эти данные взял не с потолка, а после подсчета ТТД у ведущих игроков мира. Марадону считали, Круиффа и даже Пеле по старым записям»,
— говорит Бубнов и тут же утверждает, что сейчас игроки редко допускают менее 30 процентов брака. «И не надо мне говорить, что футбол изменился и стал быстрее, — горячится бывший защитник «Спартака». — Что вы думаете: сейчас игроки российских клубов играют быстрее Марадоны?»
При Бескове у каждого игрока «Спартака» была своя тетрадь, в которую они обязаны были заносить данные о своих тактико-технических действиях после каждого матча. Мэтр проверял эти дневники и ставил оценки за игру.
«Это были совсем не те оценки, которые Бесков выставлял в протоколах или для журналистов, —
листает Бубнов свой журнал ТТД, сохранившийся с тех времен. — Те оценки влияли на зарплату, звания и квартиры. В дневниках все было значительно строже. И если в протоколе Бесков после выигранного матча мог поставить три пятерки, то в дневниках они превращались в двойки».
Похожая система оценок до сих пор сохранилась в киевском «Динамо».
«После каждого матча на базе вывешивается список, в котором отражены ТТД всех игроков и подсчитана общая оценка,
— вспоминает защитник московского «Динамо» Андрей Ещенко, еще полгода назад игравший в Киеве. — Оценка эта высчитывается по специальной формуле. Говорят, она придумана еще самим Лобановским».
А еще говорят, что кроме самого Лобановского в этой формуле могли разобраться человека три-четыре. Разработана она была в знаменитой в узких кругах лаборатории киевского «Динамо», бессменным руководителем которой был Анатолий Зеленцов. Это, пожалуй, был первый научный центр, работавший исключительно на футбол. И именно в здании, расположенном не в Конча-Заспе, как многие думали, а в центре Киева, обрабатывались результаты жестких физических и психологических тестов, которые проходили футболисты. Разрабатывали не только теорию, но и, например, специальные приборы на фотоэлементах, которые с дистанции автоматически могли фиксировать скорость футболиста, — по тем временам настоящее ноу-хау.
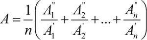
Именно в этой лаборатории и была придумана формула для подсчета эффективности футболиста на поле. Выглядит она достаточно просто

Но, естественно, требует некоторых пояснений. А1', А2' и так далее — это то количество ТТД, которые данный футболист может физически выполнить, а также показатели метаболизма обеспечения выносливости и скорости, уровень сократительной способности мышц и сопротивляемости их утомлению, скорость специального игрового мышления и бог знает чего еще, что мог придумать Лобановский. Эти параметры определяются заранее для каждого футболиста индивидуально в ходе специальных тестов. Лобановский их назвал «желаемая модель».
А1", А2" и т. д. — это количество ТТД и прочие данные, показанные этим же футболистом в данной конкретной игре, — «фактическая модель». Разделив второе на первое, получаем оценку работоспособности игрока в данном матче.
В этом основное различие между Бесковым и Лобановским. Бесков оценивал действия своих игроков, сравнивая их с показателями ведущих футболистов мира. Лобановский — сравнивая то, что сделал его футболист за матч, с тем, что теоретически мог сделать.
МИЛЛИОН ЗА СТАТИСТИКУ
И тот, и другой обращали внимание своих игроков на эти показатели. Сейчас же большинство тренеров считают, что ТТД — это закрытая информация, предназначенная исключительно для тренерского штаба, и футболистам ее знать не полагается.
«В этом есть свой резон,
— утверждает Владимир Поторочин. — Вот в Киеве очень много внимания уделяли подсчету ТТД. Обсчитывали не только игры, но и каждую тренировку. В итоге несколько игроков сговорились между собой и на занятиях, пасуя друг другу, искусственно повышали количество выполненных ТТД. Встанут в углу поля и давай другу друг мяч кидать: статистика «капает», процент брака уменьшается, место в составе на игру гарантировано».
«Знакомая история,
— усмехается Александр Бубнов. — Я знаю как минимум двух футболистов, отчисленных Бесковым из «Спартака» за подобные дела».
Главный тренер «Москвы» Леонид Слуцкий придерживается иного мнения.
«У нас каждый футболист после игры получает папку со своими показателями,
— рассказывает наставник «горожан». — Да, я согласен, что, например, Бракамонте совсем не надо знать, какие показатели у Кириченко, и наоборот. Но тому же Кириченко наверняка интересно и полезно увидеть, что он сделал на поле за 90 минут, в каких компонентах ошибался, где, наоборот, выглядел очень хорошо».
У игроков Слуцкого и у него самого недостатка в такой информации нет: «Москва» — один из немногих российских клубов, где есть специальная компьютерная программа для подсчета тактико-технических действий, и не только их. Почти везде в России, где считают ТТД, действуют старым способом: на трибуне сидит специально обученный человек и по ходу игры на диктофон наговаривает, что совершил тот или иной футболист. После расшифровки статистика готова. Так же готовится статистика и на телевидении, где стажеры по ходу трансляции жмут на нужные кнопки, считая удары в створ ворот, фолы и прочие нехитрые показатели, на глазок определяя проценты владения мячом. Вся Европа действует совсем по-другому, пользуясь специальными компьютерными программами. В большинстве клубов пользуются английской Prozone.
Сотрудничать с создателями Prozone — удовольствие дорогое. Когда российские клубы обратились к ним с предложением о совместной работе, англичане очень долго думали и в конце концов выставили солидные финансовые условия — 200 тысяч евро за один сезон пользования программой. При этом владельцы Prozone наотрез отказались передавать в Россию сам программный продукт. По условиям соглашения, съемку матча надо было пересылать в Англию, там бы она обрабатывалась, и результаты отсылались бы обратно в Россию. На все про все уходило бы от 4 дней до недели — непозволительная роскошь для тренеров, которые должны уже на следующий день после матча разобрать игру.
«Москва» пошла другим путем и выкупила похожую программу Ascensio system у российских разработчиков. За сколько — в клубе не уточняют, но вроде бы обошлось заметно дешевле, чем у англичан: если верить неофициальной информации, где-то в 150 тысяч евро за полноценный продукт. «Локомотиву» примерно то же самое, но за границей, говорят, стоило 1 млн долларов.
У НИХ ВСЕ ТОЧНО
«Все не так сложно, как кажется на первый взгляд,
— специально для «Футбола» проводит экскурсию по компьютерному центру клуба пресс-атташе «Москвы» Максим Мотин. — Сначала на стадионе были установлены четыре камеры, которые с высоты захватывают все поле целиком. Снятое изображение передается в компьютер, и тут начинается основная работа программы».
Результаты работы умещаются на экране ноутбука: зеленое поле с разметкой, на нем 22 точки — футболисты двух играющих команд, расположение которых четко фиксировали камеры и передали в компьютер. В целях конспирации выбран матч Кубка Интертото «Москва» — «Герта». «Один известный российский тренер, как увидел эту программу, сказал, что не дай бог результаты ее попадут соперникам — сразу же вся игра как на ладони, и команду придется создавать заново», — объясняет выбор матча Максим, из корпоративной солидарности не показывая игру какой-нибудь российской команды.
Пресс-атташе нажимает какую-то кнопку, и матч начинается — точки приходят в движение. Ощущение такое, что ты сидишь на верхнем ряду «Камп Ноу» и с высоты нескольких десятков метров смотришь за игрой. Кто хоть раз играл в компьютерный футбол — поймет. Движением мыши Максим соединяет на экране четырех защитников в одну линию. И сразу же четко видно, как игроки обороны четко держат эту линию при обороне собственных ворот и как она изгибается по краям, когда фланговые защитники подключаются к атаке. Еще одно движение мыши, и Максим выделяет расстояние между линией защиты и линией полузащиты — разрыв, размер которого важен для любого тренера, фиксируется до сантиметра.
«А можно и так», — нажимает Максим пару кнопок, и картинка становится объемной, а точки превращаются в хорошо прописанные 3D модели футболистов. Без, правда, фотографического сходства — Тчуйссе, например, на экране белый.
«В такой 3D модели «Манчестер Юнайтед» выкладывает на свой сайт все голы,
— объясняет пресс-атташе. — Может, и мы что-то подобное сделаем на своем портале. Но это больше интересно болельщикам. Тренерам нужна информация».
Приносят полное досье на матч. Информационный бюллетень по каждому игроку умещается только на приличной стопке бумаги. Здесь есть все, и не только пресловутые ТТД. Таблицы с показателями, сколько конкретный футболист километров пробежал за матч и с какой скоростью — шагом, трусцой, обычным бегом или с ускорением. Точное время владения мячом каждым футболистом в отдельности — редко у кого больше трех минут. Графики активности игрока в течение всей игры: вот с 1-й по 17-ю минуту футболист Х был очень активен, потом пошел на спад, а с 56-й по 68-ю был вообще инертен. И проблемы игрока с физической подготовкой становятся очевидными.
«Тут нет какой-то отдельной цифры, на которую я обращаю внимание первым делом, —
расшифровывает записи Леонид Слуцкий. — Здесь все увязано, и, в отличие от всех остальных программ, наша считает полный объем проделанной беговой работы. Да и массу других вещей».
«Это первый российский продукт, который превосходит зарубежные аналоги,
— не без пафоса и с гордостью произносит Дмитрий Садовников, представитель компании «Футбольная карьера», которая является официальным дистрибьютером Ascensio system. — Стоимость аппаратуры в этой системе составляет не более десятой части от стоимости всего комплекса. 4 компьютера, 4 камеры, монтаж оборудования на стадионе. Все остальное — это программный продукт, который, собственно говоря, клуб и приобретает. К сожалению, в России пока мало кто понимает, что интеллектуальная собственность стоит денег. Ведь именно сама программа, а не оборудование, и является нашим главным продуктом. Некоторые клубы обращаются к нам с просьбой — провести анализ 1—2 матчей. Это актуально для клубов, не желающих сразу выкупать весь комплекс».
Впрочем, по всей видимости, недалек тот день, когда и аппаратура в подобных системах будет принципиально изменена. Уже сейчас технически возможно в экипировку каждого футболиста вмонтировать электронный чип, а по углам поля расставить датчики, которые дадут возможность в режиме он-лайн получать все данные по игрокам. Альтернатива этому — использование системы глобального позиционирования GPS. Можно игроков снабдить и напульсниками, через которые в режиме реального времени поступала бы информация о биологических данных футболистов. Но пока ФИФА против компьютеризации футбола.
Валерий Васильевич Лобановский был бы такой позицией недоволен.
Андрей Вдовин






